主要职责
中国科学院贯彻落实党中央关于科技创新的方针政策和决策部署,在履行职责过程中坚持党中央对科技工作的集中统一领导。主要职责是:
一、开展使命导向的自然科学领域基础研究,承担国家重大基础研究、应用基础研究、前沿交叉共性技术研究和引领性颠覆性技术研究任务,打造原始创新策源地。 更多+
院况简介
中国科学院是国家科学技术界最高学术机构、国家科学技术思想库,自然科学基础研究与高技术综合研究的国家战略科技力量。
1949年,伴随着新中国的诞生,中国科学院成立。建院70余年来,中国科学院时刻牢记使命,与科学共进,与祖国同行,以国家富强、人民幸福为己任,人才辈出,硕果累累,为我国科技进步、经济社会发展和国家安全作出了不可替代的重要贡献。 更多+
院领导集体
科技奖励
科技期刊
科技专项
科研进展/ 更多
工作动态/ 更多
工作动态/ 更多
中国科学院学部
中国科学院院部
语音播报
秸秆是农田生态系统重要的有机资源,土壤微生物是其降解的主要驱动力。已有研究表明,秸秆降解不同时段,微生物群落有明显演替现象;不同土壤环境中,秸秆降解微生物类群不同。但是科研人员查阅文献发现,参与秸秆降解的微生物携带的相关功能基因集可能较相似,降解微生物群落结构演替主要受秸秆化学性质控制;除主导微生物发挥降解作用外,还需辅助微生物协同参与。这些线索暗示了秸秆降解的微生物学过程,特别是在功能层面,具有内在的统一性。这些认识有利于推动学界对秸秆降解微生物学机制的了解,也有助于满足国家当前提倡的秸秆资源化需求。
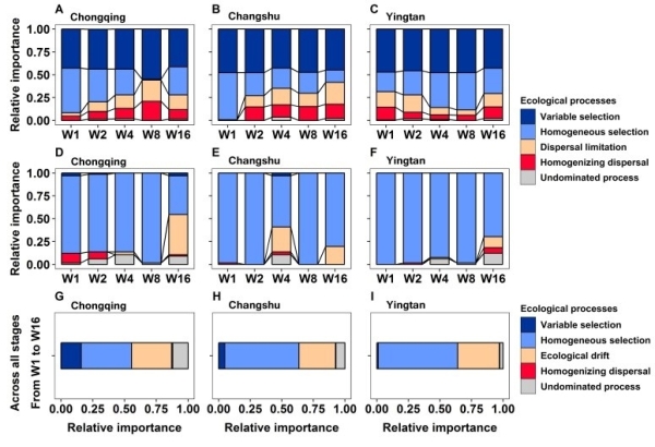
中国科学院南京土壤研究所研究员冯有智团队结合秸秆田间原位埋袋降解和室内DNA稳定性同位素标记(DNA-SIP)实验,在我国亚热带水稻土秸秆降解微生物研究中取得新进展。研究人员对重庆、常熟和鹰潭三个田间原位秸秆进行降解实验发现,(1)虽然站点间参与秸秆降解的细菌物种表现出较大的空间可变性,但是相关功能基因集变异性较低。该研究表明,功能层面的认知将更有助于统一大尺度下秸秆降解的微生物学过程,以及可从功能层面统一调控秸秆的降解过程。(2)研究人员利用生态零模型,分别探究三个站点细菌群落构建机制,结果显示,秸秆降解群落构建过程受到秸秆化学成分控制,其中,“异质性选择”筛选土壤中部分微生物参与秸秆降解;“匀质性选择”决定各秸秆降解时间段内微生物群落组成;“生态漂变”赋予整个降解时间段内群落组成一定随机性。受到秸秆化学性质控制的群落构建过程塑造群落组成,进而间接影响秸秆降解。这说明区域尺度下水稻土秸秆降解微生物群落的形成和演替具有高度的内在一致性。(3)研究人员利用DNA-SIP,揭示参与秸秆降解的具体物种,除传统秸秆降解微生物类群之外,还发现多种间接参与的微生物群,如具有电子传递“桥梁”作用的Geobacter,利于释放降解过程中积累的过剩还原力,解除秸秆降解过程中产生的底物限制,促进秸秆降解;固氮微生物可提供氮素,缓解因秸秆高C/N而不利于降解的障碍;引发“激发效应”的微生物也能间接参与秸秆降解。该研究揭示秸秆降解微生物是集团化作业,要重视主导微生物和关注辅助型物种。
相关研究成果发表在Soil Biology and Biochemistry和Biology and Fertility of Soils上。研究工作得到国家自然科学基金重点项目的资助。

图1.区域尺度下秸秆降解微生物物种和功能分布

图2.秸秆降解微生物群落构建过程

图3.直接和间接参与秸秆降解的微生物
扫一扫在手机打开当前页
© 1996 - 中国科学院 版权所有 京ICP备05002857号-1
京公网安备110402500047号 网站标识码bm48000002
地址:北京市西城区三里河路52号 邮编:100864
电话: 86 10 68597114(总机) 86 10 68597289(总值班室)








