主要职责
中国科学院贯彻落实党中央关于科技创新的方针政策和决策部署,在履行职责过程中坚持党中央对科技工作的集中统一领导。主要职责是:
一、开展使命导向的自然科学领域基础研究,承担国家重大基础研究、应用基础研究、前沿交叉共性技术研究和引领性颠覆性技术研究任务,打造原始创新策源地。 更多+
院况简介
中国科学院是国家科学技术界最高学术机构、国家科学技术思想库,自然科学基础研究与高技术综合研究的国家战略科技力量。
1949年,伴随着新中国的诞生,中国科学院成立。建院70余年来,中国科学院时刻牢记使命,与科学共进,与祖国同行,以国家富强、人民幸福为己任,人才辈出,硕果累累,为我国科技进步、经济社会发展和国家安全作出了不可替代的重要贡献。 更多+
院领导集体
科技奖励
科技期刊
科技专项
科研进展/ 更多
工作动态/ 更多
工作动态/ 更多
中国科学院学部
中国科学院院部
语音播报
在此基础上,研究人员使用云南抚仙湖太阳天文台1米新真空太阳望远镜(NVST)的观测资料,研究了2015年10月16日的一个M级耀斑前项的振荡过程。在耀斑开始之前的70分钟之内,发现了七个完整的周期性的脉冲峰。进一步的计算表明周期约为9.3分钟。这是首次在耀斑前期的H-α波段探测到长周期的脉冲峰(图2)。该研究结果对于理解和预测太阳耀斑,尤其是大耀斑的爆发具有重要意义。
此外,使用Konus-Wind卫星的高能观测数据,并结合地面的射电观测数据,研究人员还研究了2017年9月6日的一个X9.3级大耀斑的准周期脉动现象。结果表明该耀斑在硬X射线和射电波段的周期约为24-30秒,而在伽玛射线的周期只有20秒(图3),这可能是由于伽玛射线与硬X射线辐射的源区不同造成的。研究人员认为该耀斑在上述高能波段的周期性行为来自同一能量释放过程,即周期性的磁重联。该研究结果有助于理解耀斑中的粒子加速过程。
以上三个工作揭示了准周期脉动在耀斑不同时刻的观测特征,对耀斑的预报以及耀斑中的粒子加速过程有重要意义,同时也是围绕ASO-S卫星探测计划“一磁两暴”的科学目标的针对性科学研究,以及高时间分辨率的双子太阳望远镜的早期科学研究。
上述成果已发表在《天体物理学快报》(The Astrophysical Journal Letters)和《天文与天体物理》(Astronomy and Astrophysics)等杂志。相关工作得到国家自然科学基金委员会的重大基金、面上项目以及ASO-S卫星中科院战略性先导科技专项的资助。

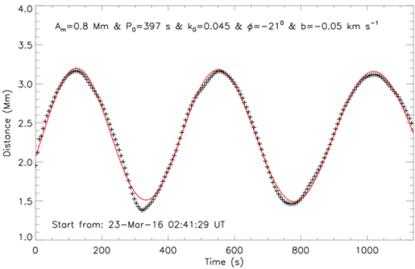
图1:冕环振荡及其拟合参数

图2:耀斑前项准周期脉动的多波段观测
图3:耀斑在不同能量范围的小波分析结果
扫一扫在手机打开当前页
© 1996 - 中国科学院 版权所有 京ICP备05002857号-1
京公网安备110402500047号 网站标识码bm48000002
地址:北京市西城区三里河路52号 邮编:100864
电话: 86 10 68597114(总机) 86 10 68597289(总值班室)








