主要职责
中国科学院贯彻落实党中央关于科技创新的方针政策和决策部署,在履行职责过程中坚持党中央对科技工作的集中统一领导。主要职责是:
一、开展使命导向的自然科学领域基础研究,承担国家重大基础研究、应用基础研究、前沿交叉共性技术研究和引领性颠覆性技术研究任务,打造原始创新策源地。 更多+
院况简介
中国科学院是国家科学技术界最高学术机构、国家科学技术思想库,自然科学基础研究与高技术综合研究的国家战略科技力量。
1949年,伴随着新中国的诞生,中国科学院成立。建院70余年来,中国科学院时刻牢记使命,与科学共进,与祖国同行,以国家富强、人民幸福为己任,人才辈出,硕果累累,为我国科技进步、经济社会发展和国家安全作出了不可替代的重要贡献。 更多+
院领导集体
科技奖励
科技期刊
科技专项
科研进展/ 更多
工作动态/ 更多
工作动态/ 更多
中国科学院学部
中国科学院院部
语音播报
过渡金属具有可变的化合价态,价态的改变预示着外层电子结构(包括电子数目、轨道占据等)的变化,从而可引起物质结构与物理性质显著的改变。研究人员通常利用化学掺杂的方法来控制电子的配置情况,从而实现对物理性质的有效调控。然而,化学掺杂不可避免地会引入化学无序与/或相分离,影响材料本征物理性质的研究。相比化学掺杂等“外部”调控手段,自旋态改变(如:高自旋→中自旋→低自旋)与金属间电荷转移等“内部”调控方式可在不引入掺杂元素的情况下实现对电子结构的改变,因而对应着更纯净的电子调控。虽然自旋态改变在Fe、Co、Mn等过渡金属化合物中被观察到,但固体材料中不同原子位置金属离子间的电荷转移却十分罕见,因为它需要在单相材料中存在两种能量相近的离子态,以致于在适当的外界激励下实现电子在两种金属离子之间发生转移(Long et al., Nature 458, 60, 2009)。
近期,中国科学院物理研究所/北京凝聚态物理国家研究中心磁学国家重点实验室M08组研究员龙有文团队在高压制备的特殊电荷有序物质PbCoO3(Pb2+Pb4+3Co2+2Co3+2O12)中,率先发现了压力先后诱导的Co2+离子高自旋-低自旋态转变以及Pb4+-Co2+之间的电荷转移,从而导致晶体结构经历两次一级相变以及绝缘体-金属-绝缘体等多重电输运性质的改变,该工作是自旋态与电荷转移这两种电子相变首次在单相材料中被同时发现。
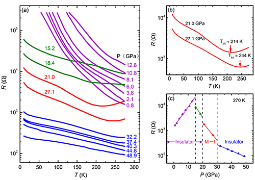
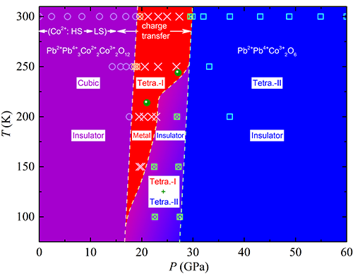
在前期研究中,龙有文团队利用高压高温实验条件获得了新型钙钛矿物质PbCoO3(参见JACS,139,4574,2017)。虽然该材料具有简单的ABO3钙钛矿化学式,但A位的Pb具有1:3有序的Pb2+与Pb4+电荷态,而B位的Co具有1:1盐岩型有序的Co2+与Co3+电荷态,并且Co2+是有磁性的高自旋态(S = 3/2),但Co3+是非磁的低自旋态(S = 0)。考虑到两种金属离子特殊的电荷有序后,材料的化学式可写为Pb2+Pb4+3Co2+2Co3+2O12。针对该物质,团队开展了原位高压电阻、同步辐射X光衍射、发射光谱、吸收谱以及高压中子等系列测试,发现了自旋态与电荷态敏感的压力依赖关系。随着压力逐渐增加至15 GPa,Co2+离子连续地由高自旋态转变为低自旋态。虽然原位高压往往可以扩展能带宽度降低电阻,但自旋态的改变使得PbCoO3的电阻随压力增大反常增加。当自旋态转变结束后,低自旋Co2+离子与反常高价态Pb4+离子之间发生电荷转移,电荷转移的积累效应导致材料在20 GPa附件发生一级晶体结构相变,使材料由原来的立方晶系转变为四方晶系。因电荷转移破坏了B位电荷有序分布,因此当结构相变发生时,材料也伴随着绝缘体-金属化相变的出现。Pb4+-Co2+电荷转移导致低自旋Co2+(S = 1/2)全部转变为绝缘的低自旋Co3+态(S = 0),进而在30 GPa时引起第二次一级晶体结构相变以及再进入的绝缘化行为(即金属-绝缘体转变)。该工作是自旋态与电荷转移这两种电子相变首次在单相材料中被同时发现,并且导致晶格、电荷、自旋、轨道等多个自由度的急剧改变。
相关研究结果发表在近期的《美国化学会志》(J. Am. Chem. Soc.)上,并且被JACS选为封面论文。该研究工作获得了台湾同步辐射研究中心J. M. Chen教授、日本东京工业大学M. Azuma教授、德国马普所Z. W. Hu博士、物理所靳常青研究员等多个团队的密切合作。该工作获得科技部(2018YFE0103200,2018YFA0305700)、国家自然科学基金委(11934017, 51772324, 11921004, 11574378)、中科院(YZ201555, QYZDB-SSW-SLH013, GJHZ1773)等的支持。

图1:该工作被JACS选为封面论文。

图2:压力诱导PbCoO3电输运性质的多重改变。

图3:压力诱导PbCoO3中Co2+离子高自旋-低自旋态的转变。

图4:压力诱导PbCoO3中Pb4+-Co2+金属离子间电荷转移。

图5:压力诱导PbCoO3晶体结构发生两次一级相变。

图6:PbCoO3压力与温度依赖的相图。
扫一扫在手机打开当前页
© 1996 - 中国科学院 版权所有 京ICP备05002857号-1
京公网安备110402500047号 网站标识码bm48000002
地址:北京市西城区三里河路52号 邮编:100864
电话: 86 10 68597114(总机) 86 10 68597289(总值班室)








