主要职责
中国科学院贯彻落实党中央关于科技创新的方针政策和决策部署,在履行职责过程中坚持党中央对科技工作的集中统一领导。主要职责是:
一、开展使命导向的自然科学领域基础研究,承担国家重大基础研究、应用基础研究、前沿交叉共性技术研究和引领性颠覆性技术研究任务,打造原始创新策源地。 更多+
院况简介
中国科学院是国家科学技术界最高学术机构、国家科学技术思想库,自然科学基础研究与高技术综合研究的国家战略科技力量。
1949年,伴随着新中国的诞生,中国科学院成立。建院70余年来,中国科学院时刻牢记使命,与科学共进,与祖国同行,以国家富强、人民幸福为己任,人才辈出,硕果累累,为我国科技进步、经济社会发展和国家安全作出了不可替代的重要贡献。 更多+
院领导集体
科技奖励
科技期刊
科技专项
科研进展/ 更多
工作动态/ 更多
工作动态/ 更多
中国科学院学部
中国科学院院部
语音播报
二维过渡金属硫族化合物由于其具有原子级别的厚度、较强的自旋轨道耦合、较大的激子束缚能和可见光区直接带隙的特点,逐渐成为后摩尔时代新材料的研究热点。尤其是单层过渡金属硫族化物提供了一种新的电子自由度——能谷,为未来光电信息处理提供了新的途径。最近,在二维体系中利用缺陷发光实现了单光子光源,这为片上集成量子光学网络提供了一个新的平台。然而,这些二维材料单光子发光中心的来源以及其辐射复合机理依然不是很清楚。
基于此,中国科学院物理研究所/北京凝聚态物理国家研究中心许秀来课题组结合二维过渡金属硫族化物的能带特性并利用极化分辨的磁光光谱对单光子发射的复合机制进行了系统的研究。他们在单层WSe2材料的边缘处发现了三种具有不同大小朗德g因子和精细结构劈裂的单光子发射峰,并根据WSe2的能带特性提出了理论模型,系统地解释了这三种类型单光子辐射的来源并揭示了其辐射复合机制。相关工作发表在【npj 2D Mater. Appl. 4, 2 (2020)】,党剑臣为该文章第一作者。
磁光光谱是研究二维过渡金属硫族化物能谷性质的一种重要工具。例如,赛曼劈裂可以用来验证自旋、谷和轨道磁矩在赛曼效应中的贡献。许秀来课题组在前期的工作中利用磁光光谱研究了单层MoS2局域态激子中的多体效应和缺陷导致的双层WS2层间激子的跃迁,相关成果分别发表在【Phys. Rev. Mater. 3, 051001(R) (2019)】和【Appl. Phys. Lett. 114, 113104 (2019)】上。本文在前期工作的基础上,利用极化分辨的磁光光谱系统地研究了单层WSe2材料边缘的单光子发射峰的磁光特性。通过统计和分析发现了三种类型的单光子发光峰,分别表现为较小g因子较小精细结构劈裂、较大g因子较大精细结构劈裂以及几乎没有赛曼劈裂和精细结构劈裂。针对这三种类型的辐射复合过程,通过轨道磁矩对赛曼劈裂的不同贡献的分析揭示了不同的g因子产生的原因,并进一步通过电子空穴波函数重叠产生的交换相互作用分析了精细结构劈裂大小,从而提出了一个合理的理论模型。最后结合能谷与缺陷的特性发现这三种单光子发射分别对应于缺陷能级到缺陷能级、缺陷能级到价带和导带到缺陷能级的辐射复合跃迁过程。通过对单层WSe2中出现的单光子源类型和辐射机制的确认为以后从精准调控二维材料单光子光源提供了物理依据。
该工作得到国家自然科学基金(批准号:51761145104、11934019、61675228、11721404、11874419)、中科院B类先导专项(专项编号:XDB28000000)、中科院科研仪器设备研制项目(项目编号:YJKYYQ20180036)、中科院创新交叉团队以及广东省重点研发项目(批准号:2018B030329001)的支持。

图1. 单层WSe2在零磁场下的荧光光谱性质:(a)单层WSe2材料边缘的荧光光谱,不同尖峰对应不同的单光子复合发光。(b)和(c)荧光强度和某一特征光谱随时间的变化。(d)具有精细劈裂的荧光光谱的偏振响应。

图2. 法拉第构型下的两种单光子发射峰的磁光性质:(a-c)具有较小g因子和较小精细结构劈裂的单光子源(typeⅠ)的磁光光谱和g因子与精细结构劈裂的拟合结果。(d-f)具有较大g因子和较大精细结构劈裂的单光子源(typeⅡ)的极化分辨的磁光光谱。

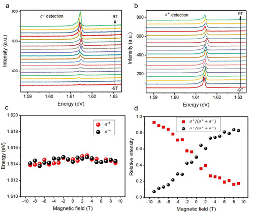
图3. 第三种类型单光子源(typeⅢ)的极化分辨的磁光光谱:(a-b)不同磁场下左右旋收集的磁光光谱。(c)左右旋收集的发光峰能量几乎不随磁场变化。(d)左右旋收集的荧光相对强度随磁场的变化。

图4. 三种类型单光子辐射复合机制示意图:缺陷能级到缺陷能级(typeⅠ),缺陷能级到价带(typeⅡ)和导带到缺陷能级(typeⅢ)的辐射复合过程。
© 1996 - 中国科学院 版权所有 京ICP备05002857号-1
京公网安备110402500047号 网站标识码bm48000002
地址:北京市西城区三里河路52号 邮编:100864
电话: 86 10 68597114(总机) 86 10 68597289(总值班室)








